
Así la potencia de entrada se procesa según dicta una entrada de control acondicionando la potencia de salida. Este acondicionamiento puede realizarse mediante convertidores DC/DC, en los que el voltaje de entrada en corriente continua se convierte en otra tensión, también continua, de magnitud diferente y posiblemente aislada o, incluso, de polaridad invertida; o mediante convertidores AC/DC, en los que la entrada en alterna se rectifica produciendo una tensión continua a la salida.
En todas las aplicaciones de potencia es esencial una elevada eficiencia (por encima del 85 %). La razón no es en grado último ahorrar en la factura eléctrica o el noble interés del respeto al medio ambiente (que también), sino que la potencia disipada en los elementos de los convertidores se convierte en calor que hay que evacuar. Si la potencia de salida de los convertidores es alta también lo serán las pérdidas según la relación:
Las perdidas requieren sistemas de enfriamiento caros y complejos, hacen que el equipo trabaje internamente a temperaturas elevadas y, en consecuencia, se reduce su fiabilidad. Por esa razón, aumentar la eficiencia es un objetivo primordial en el diseño de los equipos.
Convertidores de alta eficiencia
Cómo podemos construir un circuito que cambie el voltaje sin disipar potencia o disipando una potencia mínima? Usando, desde luego, condensadores y dispositivos magnéticos, como bobinas y transformadores. Estos, «idealmente » no disipan potencia, sino que almacenan energía que luego es liberada en otro momento. Usando también dispositivos semiconductores en modo conmutado. Cuando uno de estos componentes se encuentra en estado OFF, su corriente es cero y así también su disipación. Cuando se encuentra en estado ON, la caída de tensión entre las bornas es pequeña y, en consecuencia, también la potencia que disipa.
Resumiendo, condensadores, bobinas y transformadores, así como dispositivos semiconductores operados en modo conmutado, son los elementos que disponemos para la síntesis de convertidores de alta eficiencia.
Analicemos brevemente los fundamentos del proceso en el caso del convertidor de la Figura 1 que eleva la tensión de salida respecto a la de entrada (boost converter). Antes de proceder a ello, sin embargo, es necesario explicar sucintamente el funcionamiento del bloque X1 «spdt». Este representa un conmutador ideal que une la entrada IN bien a GND bien a la carga, LOAD, representada por la resistencia R1 de 12 ohm, bajo el control de la señal V2, de manera que cuando la tensión en la borna + es mayor que en la -, el conmutador se encuentra en la posición 1 y la corriente de la bobina fluye sin oposición (impedancia nula) por «SPDT» hacia masa. En un instante dado, la tensión entre las bornas + y – disminuye hasta anularse, momento en que el conmutador cambia a la posición 2 y la corriente de la bobina se dirige hacia C1 y R1. Este proceso de cambio de la posición del conmutador de 1 a 2 y de 2 a 1 tiene un carácter periódico que se repite a la frecuencia fS (1/10 us en nuestro ejemplo) como muestra para dos periodos la Figura 2. Al porcentaje del tiempo que el conmutador se encuentra en la posición 1 durante cada periodo se denomina ciclo de trabajo y se representa como D.
Constatemos, por Último, tres hechos físicos básicos de los que haremos uso en su momento.
- El primero es que la energía almacenada por una bobina depende del cuadrado de la corriente que la atraviesa y la de un condensador del cuadrado del voltaje en sus bornas. Por tanto, la variación de la corriente, en el caso de la primera, y de la tensión, en el segundo, no puede ser instantánea (pues necesitará potencia infinita).
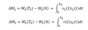
- La variación de energía almacenada por una bobina o un condensador en un ciclo será igual a la diferencia entre la energía final e inicial. Las expresiones generales son:
- El tercero es que si las constantes de tiempo naturales del convertidor son mucho mayores que el periodo de conmutación Ts (10 us en nuestro ejemplo), se puede asumir que cualquier magnitud x(t), sea corriente o tensión, variará¡ muy poco en el tiempo de un periodo de conmutación (o en cada subintervalo) y en consecuencia, estará constituido por un componente continuo al que acompañará un pequeño componente temporal indeseado. Esta asunción, denominada aproximación de pequeño rizado, equivale a:
De vuelta al circuito de la Figura 1, este llega, alcanzado el régimen permanente, a una situación de equilibrio en el que la energía almacenada por bobinas y condensadores durante un ciclo debe ser igual a la liberada. Por tanto, igualando las expresiones generales presentadas anteriormente a cero y aplicando la aproximación de pequeño rizado (uso que se puede identificar donde a la expresión antecede el signo aproximadamente igual), vemos que la tensión media en bornas de la bobina debe ser cero, así como el incremento de carga del condensador:
Establecidos los principios anteriores, denominados en terminología anglosajona inductor volt-second balance y capacitor charge balance, apliquémoslos a nuestro circuito durante un ciclo de trabajo una vez alcanzado el equilibrio.
Con el conmutador en la posición 1, el voltaje en bornas de la bobina es:
y en la posición 2:
En lo que a la corriente a través del condensador respecta, con el conmutador en la posición 1, tenemos:
y en la posición 2:
Obtenemos así la tensión de la bobina y la corriente en el condensador en cada uno de los dos subintervalos que constituyen el ciclo de trabajo; sin embargo, ambos no son independientes pues han de cumplir las condiciones de ligadura expresadas por los principios inductor volt-second balance y capacitor charge balance:
Despejando llegamos a la expresión de la tensión de salida del convertidor en función de la de entrada:
Y también a la expresión de la corriente que atraviesa la bobina poniéndola en relación con la corriente de salida que se entrega a la carga R1:
Estas dos expresiones nos permiten verificar que la potencia de entrada se transfiere a la salida sin pérdidas.
Aplicando, ya por último, la fórmula obtenida a los casos de los ciclos de trabajo del 30 % y 70 %, vemos cómo el circuito es capaz de elevar el voltaje proporcionado por una fuente de 12 V a otros valores que pudieran ser necesarios en el equipo, tales como 17.1 V o 40 V, sin pérdidas, «idealmente»y que estos valores que hemos obtenido de una forma teórica, coinciden con los resultados que recoge la Figura 3 calculados por una herramienta de simulación.
| D | V (volt) |
| 0.3 (30 %) | 17.1 = 12 / (1 – 0.3) |
| 0.7 (70 %) | 40.0 = 12 / (1 – 0.7) |
Los equipos Teldat, como corresponde a equipos dotados de la última tecnología, equipan múltiples convertidores DC/DC que transforman 12 V de entrada en otras tensiones normalmente menores (Buck converters); así el Teldat-iM8 equipa convertidores que generan: +3.3 V para la lógica LVTTL; +2.5 V y +1.8 V para la Ethernet y SFP, +1.35 V para la DDR3L, SGMII, SATA y PCI Express y +1.0 V para los núcleos procesadores. En todos los casos, su rendimiento se acerca o incluso supera el 90 %.

Figura 1. Esquema ideal de un convertidor Boost

Figura 2. Señal de control V2 para ciclos de trabajo del 30% (verde) y 70% (azul). El conmutador X1 está en la posición 1 cuando el nivel de V2 está por encima de 0.9V y en la posición 2 cuando está a 0.0V.

Figura 3. Tensión de salida del convertidor en bornas del condensador C1 para los ciclos de trabajo del 30% (verde) y 70% (azul).



































